La teoría de juegos es una teoría matemática que estudia las variables involucradas en los procesos de toma de decisiones para predecir las posibles consecuencias de una elección.
En una partida de ajedrez, siempre hay dos jugadores que toman decisiones. Cada decisión tomada por uno de los jugadores afecta directamente al otro jugador. A medida que cada jugador busca derrocar al rey del oponente, surge un problema o una situación de conflicto.
La teoría de juegos recibe su nombre porque se aplica a situaciones de conflicto de la vida real donde hay jugadores, estrategias, acciones y reglas. Es como si, desde un punto de vista matemático, las situaciones más diversas de la realidad pudieran traducirse en números, permitiendo predecir con cierto grado de precisión cuál es la mejor estrategia a seguir.
3 ejemplos cotidianos de la teoría de juegos
1. Competencia entre empresas
El llamado «juego» puede ser, por ejemplo, la competencia entre dos empresas. En este caso, los «jugadores» son las empresas que compiten por un determinado nicho de mercado. Lo que importa es pensar en el juego como una situación que implica la toma de decisiones y en los jugadores como agentes cuyas decisiones se afectan entre sí.
De forma general, esta teoría matemática se basa en una idea básica: intentar predecir lo que haría tu «oponente» en respuesta a tu acción. Y la forma en que la teoría intenta hacerlo es proponiendo un lenguaje numérico que ayude a anticipar la reacción del «oponente» y que colabore en la toma de decisiones.
2. Teoría de juegos en la administración
Si pensamos en el área de administración, podemos considerar el siguiente escenario: una empresa quiere bajar el precio de uno de sus productos para aumentar las ventas. Antes de tomar esta decisión, la empresa debe considerar la reacción de su competidor porque su decisión, en caso de que, por ejemplo, quiera bajar también el precio de su producto, puede significar pérdida y no ganancia.
En ese caso, La matriz de la teoría de juegos se puede utilizar para evaluar opciones y predecir cuál sería la decisión más ventajosa., considerando las posibles reacciones de la empresa competidora.
3. Teoría de juegos en ciencia política
En política, la Teoría de Juegos se puede utilizar para predecir comportamientos y lograr varios objetivos diferentes, desde establecer alianzas entre las partes hasta mantener la paz ante ciertos conflictos. En Política, hay dos conceptos principales relacionados con la Teoría de Juegos: La Teoría de la Paz y el Valor de Shapley.
De una manera bien resumida, la La Teoría de la Paz establece paralelismos entre los niveles de conflicto y los niveles de libertad. En teoría, las sociedades democráticas tienden a ser menos conflictivas. La ONU (Naciones Unidas), por ejemplo, utiliza este concepto en sus estrategias para intentar mantener la paz.
los Valor de Shapley se puede utilizar en una variedad de situaciones. Uno de ellos es comprender cuáles son las ventajas para cada participante de cooperar o no ante un conflicto. Las alianzas políticas son un buen ejemplo para entender esta idea.
Para formar alianzas con el fin de ganar el poder, los partidos consideran no solo la ideología, sino la fuerza de cada grupo al que pretenden unirse. Los grupos políticos con ideologías más extremas, por ejemplo, logran coaliciones menos fuertes, mientras que los que lo denominan centro Hablar mejor con otros grupos más diversos y, por tanto, conseguirán más influencia.
Es por ello que algunas partes tienden a transformar sus discursos e incluso a expulsar a los participantes que no están interesados en colaborar en el conflicto (valor Shapley) para adoptar ideologías más flexibles en nombre del poder.
El dilema de los prisioneros y el equilibrio de Nash
Con base en la información disponible sobre un escenario dado, es posible alcanzar un equilibrio, una decisión probable, conocida como Equilibrio de Nash. Este concepto, dicho sea de paso, se retrata en la película. A Brilliant Mind, que cuenta la historia del matemático John Nash Jr, personaje de Russell Crowe.
Aunque un poco abstracto, es posible comprender esta idea con la ayuda del dilema del prisionero.
El dilema propone la historia de dos presos, detenidos el mismo día, por diferentes motivos, y que son condenados a dos años de prisión cada uno. La policía sospecha que los dos también pueden estar involucrados en otro crimen que ocurrió antes y que no tiene nada que ver con el que fueron arrestados. Luego, la policía decide interrogarlos por separado y presentar opciones para los detenidos:
- Opción 1: si uno confiesa el crimen y el otro no, el que confesó recibe 1 año de cárcel y el que niega 10.
- Opcion 2: si uno niega el delito y el otro confiesa, el que lo negó recibe 10 años y el que confesó 1.
- Opcion 3: si los dos confiesan, cada uno recibe 3 años de cárcel.
- Opcion 4: si ninguno confiesa, se mantienen los dos años de prisión para cada uno.
Aunque la opción 4 es la más ventajosa para ambos, solo hay una opción que parece equilibrada, la opción 3 (prisión por 3 años). Esta opción más segura y equilibrada, al menos desde una perspectiva individual, es lo que llamamos equilibrio de Nash.
En el equilibrio de Nash, ambos agentes (en el caso de nuestro ejemplo, ambos prisioneros) adoptan la mejor opción para ellos mismos. Dada la decisión tomada por el otro jugador, ninguna otra opción sería mejor.
Secuencia de Fibonacci en la teoría de juegos
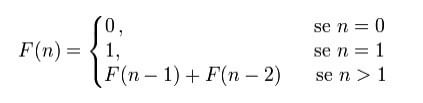
Inventado por el matemático Leonardo Pisa, esta secuencia numérica infinita comienza en 0 y 1, y sus siguientes números son siempre la suma de los dos números anteriores. Así: 0, 1, 1, 2, 3, 5, 8, 13, 21, 34, 55, 89, 144, 233, 377, 610, 987, 1597, 2584,…
La secuencia se usa en varios contextos diferentes y también en la teoría de juegos para analizar diferentes posibilidades usando la fórmula siguiente, los dos primeros términos son F0 = 0 y F1 = 1

Estudiar los intereses e intenciones de la otra parte es importante porque, en consecuencia, tendrán un efecto en mis decisiones. Lo que predigo que el otro puede hacer, puede convencerme de cambiar mi estrategia. Y ese es también el pensamiento de mi oponente, es decir, es un ciclo de pronóstico constante y simultáneo, en ambos lados.


